您现在的位置:首页 » 学科进展 » 正文
云南天文台揭示射电噪活动星系核演化模式
Release Time: 2017-09-22 14:23:51     Views:

    近日,中国科学院云南天文台袁尊理、王建成等结合更全面的观测数据,充分考虑样本谱指数分布的影响,利用贝叶斯方法计算了活动星系核(AGN)的射电光度函数,发现射电噪AGN的演化遵从由密度演化和光度演化共同主导的混合演化模式,并给出了无量纲化的密度演化和光度演化(图1)。
    密度演化反映了AGN的数目随红移的变化,而光度演化则描述了AGN的特征光度随红移的变化,二者反映物理上截然不同的两种演化机制,但传统的射电光度函数模型难以区分密度演化和光度演化对AGN总体演化的具体贡献,即存在所谓的演化简并,而袁尊理等提出的混合演化模型能自然而然地解除演化简并。
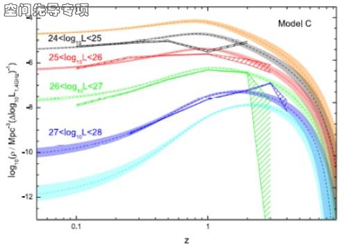
    已有的研究发现射电噪AGN表现出光度依赖的演化特性,即低光度源的演化在红移为1左右趋于平缓甚至停止演化,而高光度源的强演化一直持续到红移为3左右。鉴于此观测现象,传统理论认为低光度和高光度的射电噪AGN具有不同的宇宙学演化。科研人员提出低光度和高光度的射电噪AGN遵从同样的混合演化模式,其中低光度源对密度演化更敏感,而高光度源对光度演化更敏感,才造成“光度依赖的演化”的表象。混合演化模型不仅符合观测到的射电光度函数(图2),而且能精确地预言多波段射电计数(图3)。
    研究结果发表在The Astrophysical Journal上。


图1.无量纲化的密度演化和光度演化(取自原文)


图2.混合模型与观测到的射电光度函数对比(取自原文)


图3.观测到的多波段射电计数与混合演化模型对比(取自原文)

来源:云南天文台